Home / Forum / Ernährung / Hochwertiges / Bedarfsgerechtes Nassfutter (ohne Barfen), welches nur?

Verfasser-Bild
Melanie
Einleitungs-Beitrag
Anzahl der Antworten 6421
zuletzt 15. Apr.

Hochwertiges / Bedarfsgerechtes Nassfutter (ohne Barfen), welches nur?

Ich brauche bitte auch Euren Rat. Es gab das Thema zwar schon, aber es ging so schnell ins Barfen über. Ich möchte gern meinem kleinen Mann ein Nassfutter aus der Dose geben, das alles hat, was er braucht (Fleisch, aber auch Gemüse, Obst, bissel Kohlenhydrate... kein Getreide). Allerdings möchte ich es gern (erstmal) ohne Barfen probieren. Ich hab soooo viel gelesen, verglichen und trotzdem bin ich unschlüssig. Anifit, Lukullus, Wolf of Wilderness, Pets deli, Terra Canis, ... 🤔😖 Aber welches ist wirklich gut und auch gut verträglich. Reico, Anifit oder Xantara sind bereits ausgeschlossen. Ich freue mich schon jetzt über Eure Empfehlungen, Eure Unterstützung! Habt lieben Dank! Link zur Futtersammlung: https://coda.io/@nicklas/dogorama Link zum Formular für ein neues Futter als Vorschlag: https://coda.io/form/_db5e2WoULIe
 
Beitrag-Verfasser-Bild
Franzi
5. Nov. 20:16
Dachte kurz Spirulina wäre die Quelle für Jod, aber nö das war ja die Alge die davon wenig enthält. Für mich sieht das aus wie eine Sammlung von "SuperFoods"😂 Auch würde ich sowohl auf Schwarzkümmel, als auch auf Knoblauch lieber verzichten, mag vielleicht nicht super giftig sein, aber einen wirklichen Sinn hat es auch nicht.
Naja gut besser was was keinen Sinn macht als etwas was schädlich ist …aber kann man jod selbst zufügen ?
 
Beitrag-Verfasser
Dogorama-Mitglied
5. Nov. 20:22
Naja gut besser was was keinen Sinn macht als etwas was schädlich ist …aber kann man jod selbst zufügen ?
Natürlich aber ich persönlich zweifle nicht nur die Jodabdeckung an. Wenn du Trockenbarf füttern willst würde ich es wie zb hier empfohlen machen: https://www.dogspartner.de/hundefutter-snack/easy-barfen-futter/trockenbarf/
Also Trockenfleisch, Gemüseflocken, sinnvolles Öl und vorallem einen Zusatz.

Wobei ich das Trocken"fleisch" von denen auch nicht nehmen würde.
 
Beitrag-Verfasser-Bild
Franzi
5. Nov. 20:25
Natürlich aber ich persönlich zweifle nicht nur die Jodabdeckung an. Wenn du Trockenbarf füttern willst würde ich es wie zb hier empfohlen machen: https://www.dogspartner.de/hundefutter-snack/easy-barfen-futter/trockenbarf/ Also Trockenfleisch, Gemüseflocken, sinnvolles Öl und vorallem einen Zusatz. Wobei ich das Trocken"fleisch" von denen auch nicht nehmen würde.
😩 okay…das klingt ja wieder nicht so toll …ich traue mir das irgendwie echt nicht zu das alles selbst zusammen zustellen 😬
 
Beitrag-Verfasser
Dogorama-Mitglied
5. Nov. 20:33
😩 okay…das klingt ja wieder nicht so toll …ich traue mir das irgendwie echt nicht zu das alles selbst zusammen zustellen 😬
Denke schon dass du das gut schaffen kannst. Ich würde es ebenfalls über hannes seinen futterrechner machen. Da können einige hier (zb Tom oder ich) mit Erklärungen weiterhelfen.
 
Beitrag-Verfasser-Bild
Doris
5. Nov. 21:04
Hallo Melanie,
Ja, der Nassfutterjungel ist echt riesig.
Habe unzählige Futterhersteller und Sorten wochenlang verglichen. Es gibt keines das alles abdeckt.
Letztendlich habe ich mich für Realnatur wilderness, Wolfsblut und Wolf of Wilderness entschieden. Generell füttere ich gemischt. Morgens angefeuchtetes Trockenfutter und Abends Nassfutter. Des Weiteren bekommt er Ergänzungsfuttermittel Pro 1, 5 und 6 von Reico Naturkraft.
 
Beitrag-Verfasser
Dogorama-Mitglied
5. Nov. 21:43
Info zu knoblauch. Quelle: Swanie Simon BARF.
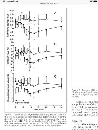
Eine der Abbildungen aus der Studie von Lee et al. (2000). Eine aktuellere Studie habe ich leider nicht gefunden. Darauf sieht man unter anderem, dass die Hunde, die eine Woche lang Knoblauch erhalten haben, danach ca. eine Woche signifikant weniger rote Blutkörperchen hatten als die Kontrollgruppe.

https://avmajournals.avma.org/configurable/content/journals$002fajvr$002f61$002f11$002fajvr.2000.61.1446.xml?t%3Aac=journals%24002fajvr%24002f61%24002f11%24002fajvr.2000.61.1446.xml&tab_body=pdf
 
Beitrag-Verfasser-Bild
Franzi
5. Nov. 21:56
Eine der Abbildungen aus der Studie von Lee et al. (2000). Eine aktuellere Studie habe ich leider nicht gefunden. Darauf sieht man unter anderem, dass die Hunde, die eine Woche lang Knoblauch erhalten haben, danach ca. eine Woche signifikant weniger rote Blutkörperchen hatten als die Kontrollgruppe. https://avmajournals.avma.org/configurable/content/journals$002fajvr$002f61$002f11$002fajvr.2000.61.1446.xml?t%3Aac=journals%24002fajvr%24002f61%24002f11%24002fajvr.2000.61.1446.xml&tab_body=pdf
Aber wie viel Knoblauch wurde denn gegeben?
 
Beitrag-Verfasser
Dogorama-Mitglied
5. Nov. 22:08
Aber wie viel Knoblauch wurde denn gegeben?
„Treated dogs received 1.25 ml of garlic extract/kg of body weight, an amount equivalent to 5 g of whole garlic/kg“

„Preparation of garlic extracts
Garlic extracts were prepared as described for onion extracts that have been used to induce hemolytic anemia in dogs. Peeled garlic bulbs, cultivated in Honam, Korea, were homogenized after addition of an appropriate volume of deionized water and filtered through gauze. The filtrate was boiled for 15 minutes, the precipitate was removed by filtration, and the second filtrate
was evaporated under reduced pressure to a volume corresponding to 0.25 ml/g of whole garlic.“

Also Extrakt aus 5g Knoblauch pro kg Körpergewicht.

Steht aber auch in Gregors Screenshot und in der Studie, die ich extra verlinkt habe.
 
Beitrag-Verfasser
Dogorama-Mitglied
5. Nov. 22:17
„Treated dogs received 1.25 ml of garlic extract/kg of body weight, an amount equivalent to 5 g of whole garlic/kg“ „Preparation of garlic extracts Garlic extracts were prepared as described for onion extracts that have been used to induce hemolytic anemia in dogs. Peeled garlic bulbs, cultivated in Honam, Korea, were homogenized after addition of an appropriate volume of deionized water and filtered through gauze. The filtrate was boiled for 15 minutes, the precipitate was removed by filtration, and the second filtrate was evaporated under reduced pressure to a volume corresponding to 0.25 ml/g of whole garlic.“ Also Extrakt aus 5g Knoblauch pro kg Körpergewicht. Steht aber auch in Gregors Screenshot und in der Studie, die ich extra verlinkt habe.
D.h. ein 20 kg Hund hat 100 g knoblauch (zehe) pro Tag erhalten?
Eine Zehe wiegt bei mir ca. 5 g, und mehr wird ja wohl kein Mensch seinem Hund geben und schon gar nicht jeden Tag.
 
Beitrag-Verfasser
Dogorama-Mitglied
5. Nov. 22:27
D.h. ein 20 kg Hund hat 100 g knoblauch (zehe) pro Tag erhalten? Eine Zehe wiegt bei mir ca. 5 g, und mehr wird ja wohl kein Mensch seinem Hund geben und schon gar nicht jeden Tag.
Theoretisch ja, praktisch waren die Hunde leichter.

Ganz ehrlich, füttert euren Hunden Knoblauch wenn ihr wollt. ICH werde das nicht tun, weil ich darin keine Vorteile, sondern nur Nachteile sehe.