Home / Forum / Rasse-spezifisches / Rhodesian Ridgeback

Verfasser
Dogorama-Mitglied
Einleitungs-Beitrag
Anzahl der Antworten 25476
heute 15:14

Rhodesian Ridgeback

Da man hier leider nicht mehr sieht wo und wer die Rasse Rhodesian Ridgeback hat..... 😍Frage ich hier msl nach...... Und zeigt mal eure Lieblinge 🙏😍
 
Beitrag-Verfasser-Bild
Lena
3. Dez. 23:45
Das sind die 9 süßen Fellnasen mit grad mal 5 Wochen. Lulu war auch die letzte und die kleinste...hat auf sich lange warten lassen...4 Stunden später erblickte Lulu das Licht der Welt ♥️♥️♥️
 
Beitrag-Verfasser-Bild
Lena
3. Dez. 23:50
Das war der erste Tag bei uns Zuhause. Der Kleine wollte gleich kuscheln..... tastete sich laaangsam an Lulu ran... jetzt ist Lulu groß:) der Kleine mag es sehr mit ihr zu kuscheln.
 
Beitrag-Verfasser-Bild
Lena
4. Dez. 00:00
Auch Lulu hatte Fliegengewicht mit 8 Wochen 6 kg. Konnte hier noch keine Treppen laufen und wartete bis ich sie wie ne Handtasche hoch hebe und sie die Treppe runter trage......sooooo sweet
 
Beitrag-Verfasser-Bild
Petra
4. Dez. 00:20
Unsere Allie mit 9 Wochen am Tag des Einzugs.
 
Beitrag-Verfasser
Dogorama-Mitglied
4. Dez. 04:47
Guten Morgen zusammen, bin schon erschrocken, mit was für einem Gewicht die Welpies mit 8 Wochen abgegeben worden sind 😬 5kg, 6kg sind definitiv zu wenig. Haben sich ja alle gut entwickelt aber mal im Hinterkopf halten für die Zukunft.
 
Beitrag-Verfasser-Bild
Ursula
4. Dez. 06:00
Auch Lulu hatte Fliegengewicht mit 8 Wochen 6 kg. Konnte hier noch keine Treppen laufen und wartete bis ich sie wie ne Handtasche hoch hebe und sie die Treppe runter trage......sooooo sweet
Treppe laufen ? Darf man gar nicht . Meine waren fröhlich propper, zu klein für ihr Fell . Aber munter mit viel Hunger. Und somit war es ok. Die waren auch nur 8 Wochen alt. Unsere anderen Hunde , waren aber auch erst mit 12 Wochen abzugeben.
 
Beitrag-Verfasser
Dogorama-Mitglied
4. Dez. 06:36
Ja, macht er🤷‍♂️ Wenn sie ihm im Eifer zu nahe kommt, schaut er immer nach ihr und wenn es sein muss weicht er auch mal aus oder bleibt stehen. Glück für Jala‘s zierliche Füße 😅
Er kanns wohl gut ab/ einschätzen.Liebenswerter Rubi❣ Ein
guter Freund😁👍
 
Beitrag-Verfasser-Bild
Ursula
4. Dez. 06:38
Unsere Allie mit 9 Wochen am Tag des Einzugs.
Ich habe gerade mal über diese Rasse gelesen, sie war mir gar nicht geläufig,sehr schön, eine klasse Mischung 😊und sie ist ein sehr schöner Hund
 
Beitrag-Verfasser-Bild
Elke
4. Dez. 06:42
Nala war mit 8 Wochen auch noch so winzig 🤭
Groot konnte den gleichen Blick zuwerfen🥰
 
Beitrag-Verfasser-Bild
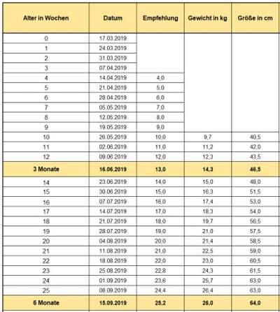
Annett
4. Dez. 06:43
Ich stell euch mal die Wachstumstabelle von Ciara ein. Die Empfehlungsgewicht stammt von der TU Hannover.